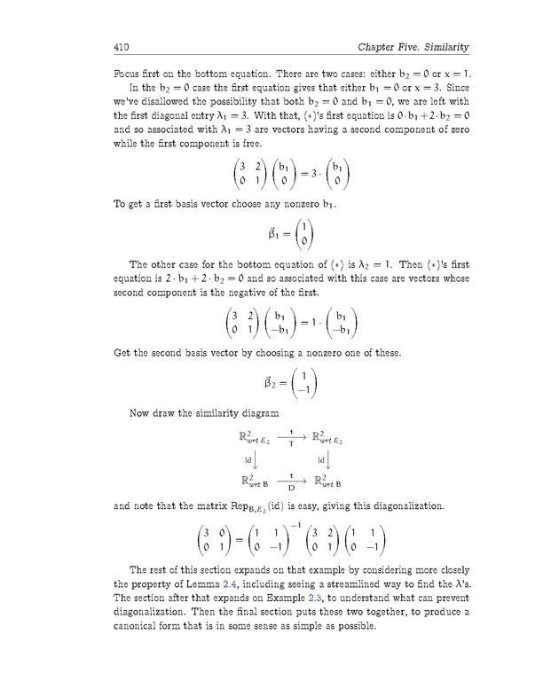
Click on image below to switch to zoomable version
Linear Algebra - Similarity 14