Click on image below to switch to zoomable version
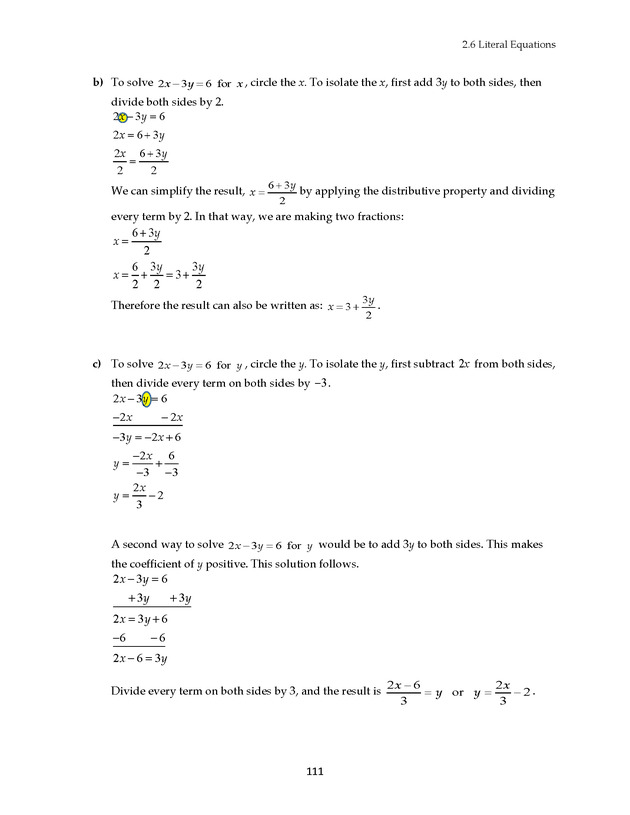
Math 021 Introductory Algebra, Third Edition - Page 111